4.1 商品住宅整體供銷存價
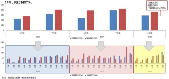
【商品住宅供銷】2018年上半年商品住宅供應293.28萬㎡,環比下降26%,同比增長21%;成交363.49萬㎡,環比下降 14%,同比下降7%。

【商品住宅成交價格】商品住宅價格自2017年5月開始突破萬元大關,整體呈快速上升趨勢。2018年上半年成交均價 13397元/㎡,較17年下半年增加了1676元/㎡。

【商品住宅存量】截止2018年6月30日,昆明市商品住宅存量384萬㎡,較2017年年底下降了70萬㎡;按照2018年上半年 月均去化61萬㎡計算,去化周期為6.3個月。

4.2 商品住宅各建筑形態對比
【商品住宅各建筑形態對比】商品住宅供銷存主力為高層(供占56%、銷占58%、存占48%);小、中和超高層均有較大 占比。售價最高獨棟別墅25358元/㎡(18年華夏御府、九夏云水等項目獨棟別墅備案);高層均價最低,為12646元/㎡(金馬騰苑、米蘭春天 等均價不到萬元的房源,以及均價在11000元以下的項目如新城吾悅廣場等,拉低了整體價格,以致價格偏低)。

4.3 商品住宅各區域對比
【各區域供銷存價對比】2018年商品住宅供銷存南市區占主力(供占44%,銷占52%,存占41%);其次為北市區;售 價最高為中市區15089元/㎡,比最低均價區域呈貢區10662元/㎡高4427元/㎡ 。

【供應對比】:除中市區、呈貢區外,各區域新增供應環比均有下降;同比除西市區外,其余區域均有所增長; 【銷量對比】:銷量環比各市區均有下降;同比西市區、南市區、東市區有所上漲,中市區、呈貢區、北市區有所下降,其 中呈貢區同比下降最多,達61%。
【銷量對比】:銷量環比各市區均有下降;同比西市區、南市區、東市區有所上漲,中市區、呈貢區、北市區有所下降,其 中呈貢區同比下降最多,達61%。

4.4 商品住宅各版塊對比
【供銷存價對比】:2018年上半年東南板塊供應最多,占比26%;東南、官南、滇池和北市板塊銷量較好,成交占比在 13%以上;北市板塊存量最高,占比19%;中心板塊成交價格最高,為24190元/㎡。

【供應對比】東市板塊同比上漲最大,達19萬方;滇池板塊環比下降最大,達53萬方。
【銷量對比】銷量方面,空港、中心、呈貢板塊同比下降較大,均在60%以上;銷量環比僅西山和中心板塊有所上漲。

4.5 商品住宅市場小結
商品住宅供銷存價:2018年上半年商品住宅供應293.28萬㎡,成交363.49萬㎡;上半年成交均價13397元/㎡,較17 年下半年增加了1676元/㎡ ;商品住宅存量384萬㎡,較2017年年底下降了70萬㎡ ,按照2018年上半年月均去化61 萬㎡計算,去化周期為6.3個月;高層為供銷存主力。
商品住宅一直是市場購買主力。自2017年5月商品住宅突破萬元大關,昆明市場購買力強勁,高層作為供銷存主力,成 交的核心面積段開始向改善型戶型轉變。由于市場的持續火熱,昆明政府也于3月1日及7月1日相繼出臺調控政策,雖然 市場還需要一定的反應時間,但依然會起到一定的降溫作用。
本站轉載文章和圖片出于傳播信息之目的,如有版權異議,請在3個月內與本站聯系刪除或協商處理。凡署名"云南房網"的文章未經本站授權,不得轉載。爆料、授權:news@ynhouse.com。








熱門評論